Ocean sound monitoring in Monterey Bay National Marine Sanctuary (MBNMS) coordinated by ONMS began in 2018 through the Sanctuary Soundscape Monitoring Project. This sanctuary has a long history of underwater acoustic monitoring dating back to measurements in the 1950s by the U.S. Navy near Point Sur Ridge. The Monterey Bay Aquarium Research Institute (MBARI) supports a continuous real-time monitoring effort within the sanctuary that began in 2015, known as the Soundscape Listening Room. Collectively, these underwater sound monitoring efforts have provided key insights on cryptic species, whale migration patterns and drivers, methods for detecting fish sounds, and steady rise in ocean noise levels, to highlight a few.
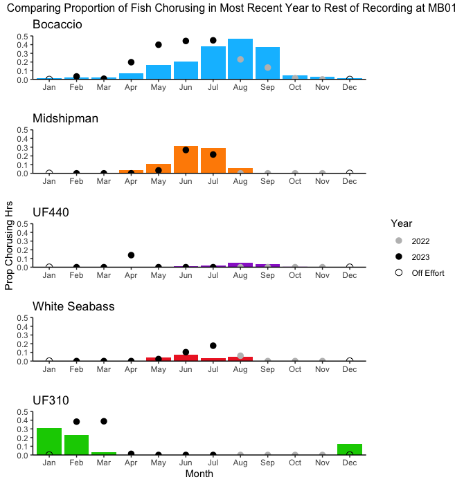
Current ONMS ocean sound monitoring and analysis is maintained at four locations in the sanctuary, as well the MBARI hydrophone. These four sites capture unique soundscapes. MB01 is in the middle of Monterey Bay, and on the edge of Monterey Canyon. That location is busy with foraging animals and vessels for commercial and recreational activities including fishing, whale watching and occasional visits from large cruise ships. MB02 is adjacent to four marine protected areas and is in rich kelp forest habitat; this shallow area off Point Pinos has a lot of vessel traffic in and out of Monterey Harbor. MB03 is offshore near transit lanes for ships weighing 300+ gross tons. This is a deep water area teeming with wide-ranging marine mammals, such as whales and dolphins. This site has decades of broadband sound data in its time-series and is managed by our partners at the Naval Postgraduate School. MB05 is located in La Cruz canyon, part of the understudied Big Sur coast, and recognized as an area of special ecological significance just inside the southern boundary of Monterey Bay NMS. This is the only California site where we hear bocaccio rockfish chorusing year round, and is an important MBARI blue whale observatory. This site is collaboratively maintained by sanctuaries and MBARI, and is adjacent to the Morro Bay wind energy development area.
To see historical monitoring sites that are no longer active, please visit Sanctuary Soundscape Project data portal.
Current ONMS ocean sound monitoring and analysis is maintained at four locations in the sanctuary, as well the MBARI hydrophone. These four sites capture unique soundscapes. MB01 is in the middle of Monterey Bay, and on the edge of Monterey Canyon. That location is busy with foraging animals and vessels for commercial and recreational activities including fishing, whale watching and occasional visits from large cruise ships. MB02 is adjacent to four marine protected areas and is in rich kelp forest habitat; this shallow area off Point Pinos has a lot of vessel traffic in and out of Monterey Harbor. MB03 is offshore near transit lanes for ships weighing 300+ gross tons. This is a deep water area teeming with wide-ranging marine mammals, such as whales and dolphins. This site has decades of broadband sound data in its time-series and is managed by our partners at the Naval Postgraduate School. MB05 is located in La Cruz canyon, part of the understudied Big Sur coast, and recognized as an area of special ecological significance just inside the southern boundary of Monterey Bay NMS. This is the only California site where we hear bocaccio rockfish chorusing year round, and is an important MBARI blue whale observatory. This site is collaboratively maintained by sanctuaries and MBARI, and is adjacent to the Morro Bay wind energy development area.
To see historical monitoring sites that are no longer active, please visit Sanctuary Soundscape Project data portal.







